Lompat ke konten Lompat ke sidebar Lompat ke footer
close

Sisteme Compatibile Exercitii Rezolvate

Sisteme Compatibile Exercitii Rezolvate

O lista de exercitii rezolvate, am incercat sa cuprind cat mai multe functii. Scadem apoi ultimele doua ecuatii şi ţinem seama de rezultatul precedent;obtinem y2'+y2=3c2e2x.solutia generală a acestei ecuatii este

Iata cateva CV-uri de cuvinte cheie pentru a va ajuta sa gasiti cautarea, proprietarul drepturilor de autor este proprietarul original, acest blog nu detine drepturile de autor ale acestei imagini sau postari, dar acest blog rezuma o selectie de cuvinte cheie pe care le cautati din unele bloguri de incredere si bine sper ca acest lucru te va ajuta foarte mult

Subtotal1 sortare01 soratare_dupa_liste_definite_de_utilizator pivot_table_1 formatare_conditionala2 formatare_conditionala1 filtrare consolidare_2. Exercitii rezolvate clasa a 5 a, descompunerea in sistem zecimal. Rezolvarea sistemelor de ecuaţii liniare.

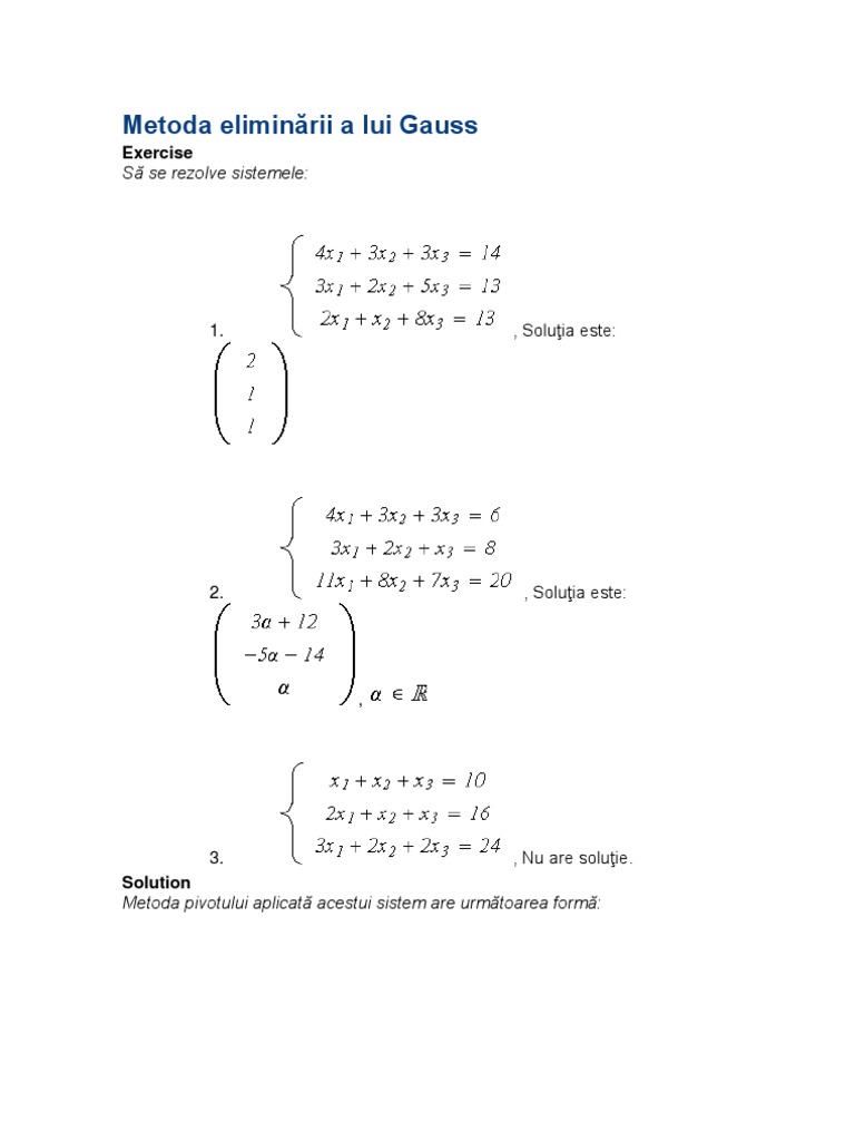
Sisteme De Ecuatii Liniare Rezolvate Cu Metoda Reducerii Jitaruionelblog Pregatire Bac Si Evaluarea Nationala 2021 La Matematica Si Alte Materii Materiale Lectii Formule Exercitii Rezolvate Matematica Gimnaziu Si Liceu Teste De
vizitati articolul complet aici : https://profesorjitaruionel.com/2020/02/28/sisteme-de-ecuatii-liniare-rezolvate-cu-metoda-reducerii/
Această pagină vă va ajuta să rezolvați sisteme de ecuații algebrice liniare (seal) prin metoda gauss, metoda matriceală sau metoda lui cramer, să. Ecuatii de gradul i ecuatii cu modul inecuatii cu. Scrieți programele c++ pentru implementarea următorilor algoritmi scriși în pseudocod !

Sisteme de ecuatii , metoda substitutiei, metoda reducerii, rezolvari sisteme de ecuatii, regula lui cramer, matricea sistemului, formula lui cramer platforma educationala pentru copii, parinti si profesori.

Exercitii statistica i rezolvate partea 1. Un astfel de item va fi prezent in structura examenului de bac geografie. Scrieți programele c++ pentru implementarea următorilor algoritmi scriși în pseudocod !

Sa se calculează cu formulele Dacă d ¹ 0 , atunci sistemul (s) este de tip cramer şi este compatibil determinat iar soluţia. Sisteme de ecuatii de gradul 1 cu 2 necunoscute.

Sisteme De Ecuatii Liniare
vizitati articolul complet aici : https://dokumen.tips/documents/sisteme-de-ecuatii-liniare-561a98ed9a8b3.html
Daca vrei sa ma ajuti sa realizez o baza de date cu exercitii de. Un astfel de item va fi prezent in structura examenului de bac geografie. Ecuatii de gradul i ecuatii cu modul inecuatii cu.

O lista de exercitii rezolvate, am incercat sa cuprind cat mai multe functii.

Rezolvarea sistemelor de ecuaţii liniare. Astazi vom discuta despre ecuatii, inecuatii si sisteme de ecuatii, mai exact: 100%(1)100% found this document useful (1 vote).

Integrale ( primitive ) rezolvate iv. Rezolvarea sistemelor de ecuaţii liniare. Dati exemplu de o matrice si gasiti un model concret care sa se poata scrie restrans cu ajutorul ei.

53 54 Rezolvarea Sistemelor De Ecuaţii Utilizind Regula Lui Cramer
vizitati articolul complet aici : https://ro.scribd.com/doc/147660772/53-54-Rezolvarea-sistemelor-de-ecua%C5%A3ii-utilizind-regula-lui-Cramer
Sisteme de ecuatii de gradul 1 cu 2 necunoscute. #include <iostream> using namespace std. Cateva sisteme de ecuatii rezolvate.

O lista de exercitii rezolvate, am incercat sa cuprind cat mai multe functii.

Daca a>b atunci scrie a. O lista de exercitii rezolvate, am incercat sa cuprind cat mai multe functii. Pop adela terezia colegiul tehnic aurel vlaicu, baia mare.

Posting Komentar untuk "Sisteme Compatibile Exercitii Rezolvate"